THRILIA RACHIANINGRUM Senin, 29-03-2021
(35) XI IPS 2
Pengertian Integral Tentu
f(x) = fungsi yang nantinya akan kita integralkan
a = batas bawah pada variabel integral
b = batas atas pada variabel integral
F(a) = nilai integral pada batas bawah
F(b) = nilai integral pada batas atas
Sifat-sifat pada Integral Tentu
Integral sebenarnya dapat ditentukan dengan mudah. Untuk mempermudah perhitungan integral, Gengs dapat memanfaatkan sifat-sifat integral berikut ini.Pertama. Jika batas atas dan batas bawah dalam suatu integral tentu adalah sama, maka hasil integral tentu dari fungsi tersebut akan sama dengan nol karena tidak ada daerah antara batas batas tersebut.
Berikut ini adalah rumus secara matematis:
Kedua. Jika batas atas dan batas bawah dalam integral tentu diubah posisinya (batas atas menjasi batas bawah dan batas bawah menjadi batas atas) untuk fungsi integral yang sama, maka akan diperoleh hasil hasil yang sama namun berbeda tanda.
Berikut ini adalah rumus secara matematis:
Ketiga. Jika f(x) adalah fungsi integral dan k merupakan tetapan (konstanta) sembarang.
Berikut ini adalah rumus secara matematis:
Keempat. Misalkan diberikan dua buah fungsi yaitu f(x) dan g(x), maka integral tentu dari penjumlahan atau pengurangan kedua fungsi tersebut dapat diselesaikan.
Berikut ini adalah rumus secara matematis:
Kelima. Misalkan terdapat dua integral dengan nilai fungsi yang sama dan nilai pada batas atas pada fungsi pertama sama dengan nilai pada batas bawah pada fungsi kedua.
Berikut ini adalah rumus secara matematis:
Keenam. Apabila fungsi f(x) nya bukan suatu fungsi melainkan konstanta.
Berikut ini adalah rumus secara matematis:
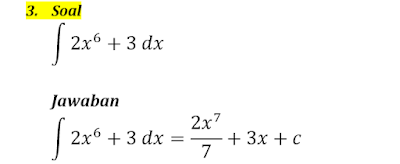
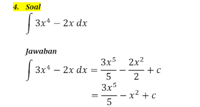
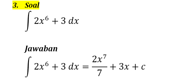
Contoh - Contoh Soal
Soal 1Hitunglah hasil dari integral tentu berikut ini
Jawab:
Soal 2
Tentukan hasil integral dari fungsi berikut:
Jawab:




